| Sign In | Join Free | My ecer.com.ru |
|
Brand Name : SHAN CABLE
Model Number : WDZA-YJY WDZ-YJE
Certification : RoHS/KEMA/TUV/CE/ISO
Place of Origin : SHANGHAI CHINA
MOQ : Negotiable
Price : Negotiable
Payment Terms : L/C, T/T
Supply Ability : 38573KM/Day
Delivery Time : 7 Days
Packaging Details : Wooden Drum
Product Name : Low Smoke Zero Halogen Cable
Usage : Indoor installation
Size : 1.5-800mm2
Rated Voltage : 0.6/1kV
core : Multi-core
Color : Black
Standard : IEC 60502, IEC 60287 IEC 60331 Standard
Type : Lszh Power Cable
Corporation : shenghua group
Brand : Sh Cable
0.6/1kV Low Smoke Zero Halogen Cable IEC 60502, IEC 60287 IEC 60331 Standard
Low Smoke Zero Halogen Cable Constructions
1. Copper or aluminum conductor
2. PE or XLPE insulation
3. Filler
4. Wrapping tape
Low Smoke Zero Halogen Cable Applications:
Used for applications requiring circuit integrity during a fire mainly used in Fire Alarm systems, sprinkler systems in schools, hospitals, cinemas and railways. Power station, Metro Tunnel or Petrochemical Industry or other special place with high requirement for fire resistant and low smoke , zero halogen clean and safe cable.
Low Smoke Zero Halogen Cable Technical data
Rated voltage: 0.6-KV
Max. Conductor Temp.:normal (90℃), short circuit no more than 5 s (the highest temperature of conductor shall no more than 250°C )
Min. Ambient Temp.:The cable shall be pre heated if the ambient temperature is below 0°C
Min. Bending Radius: single core cable 20(d+D)±5% ,Multi-core cable 15(d+D)±5%
| Type | Description | Cores | Nominal Cross Section |
| WDZAN-YJY WDZBN-YJY WDZCN-YJY | Copper conductor/XLPE insulation Low Smoke Halogen Free or Zero Halogen (LSHF or LSZH) flame-retardant Power Cable | 1, 2, 3, 4, 3+1, 5, 4+1, 3+2 | 1.5~800mm2 |
| WDZAN-YJY33 WDZBN-YJY33 WDZCN-YJY33 | Copper conductor/XLPE insulation/Steel Wire Armored Low Smoke Halogen Free or Zero Halogen (LSHF or LSZH) flame-retardant Power Cable | 1, 2, 3, 4, 3+1, 5, 4+1, 3+2 | 1.5~800mm2 |
| WDZAN-YJLY23 WDZBN-YJLY23 WDZCN-YJLY23 | Aluminum conductor/XLPE insulation/Steel Tape Armored Low Smoke Halogen Free or Zero Halogen (LSHF or LSZH) flame-retardant Power Cable | 1, 2, 3, 4, 3+1, 5, 4+1, 3+2 | 1.5~800mm2 |
| WDZAN-YJLY33 WDZBN-YJLY33 WDZCN-YJY33 | Aluminum conductor/XLPE insulation/Steel Wire Armored Low Smoke Halogen Free or Zero Halogen (LSHF or LSZH) flame-retardant Power Cable | 1, 2, 3, 4, 3+1, 5, 4+1, 3+2 | 1.5~800mm2 |
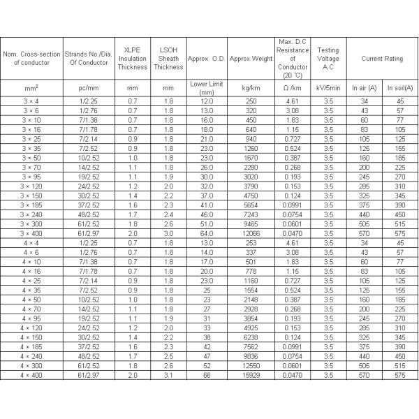
Low Smoke Zero Halogen Cable Specification:

Low Smoke Zero Halogen Cable Details

Packing:

|
|
0.6/1kV Low Smoke Zero Halogen Cable IEC 60502, IEC 60287 IEC 60331 Standard Images |